合作客戶/
拜耳公司 |
同濟大學 |
聯合大學 |
美國保潔 |
美國強生 |
瑞士羅氏 |
相關新聞Info
-
> 礦用塵克(C&C)系列除塵劑對大采高工作面截割煤塵的降塵效率影響(三)
> 最大拉桿法的基本原理、實驗步驟、影響因素及其在測定溶液表面張力中的應用
> 可視化實驗方法研究電場作用下液滴撞擊表面的動態行為(二)
> PG脫酰胺添加量對玉米醇溶蛋白氣-水動態表面張力的影響
> 雙季銨基鄰苯二甲酸酯基表面活性劑SHZ16和SHZ14表面張力等性能對比(一)
> 表面活性劑性能形成、HLB值計算、關鍵作用及其應用
> 聚氧乙烯鏈長度調控非離子Gemini表面活性劑的表面張力、接觸角(三)
> 碳微球及氨基化碳納米管組裝單元的有序LB膜制備與性能研究
> 不同干燥方式對蛋清蛋白功能特性、溶解度、接觸角、表面張力的影響(四)
> 3種助劑對螺蟲乙酯和聯苯菊酯藥液表面張力、金釵石斛菲盾蚧防治效果的影響(一)
推薦新聞Info
-
> 不同干燥方式對蛋清蛋白功能特性、溶解度、接觸角、表面張力的影響(四)
> 不同干燥方式對蛋清蛋白功能特性、溶解度、接觸角、表面張力的影響(三)
> 不同干燥方式對蛋清蛋白功能特性、溶解度、接觸角、表面張力的影響(二)
> 不同干燥方式對蛋清蛋白功能特性、溶解度、接觸角、表面張力的影響(一)
> CO2泡沫穩定性原理、影響因素|CO2-EOR機理與應用前景(四)
> CO2泡沫穩定性原理、影響因素|CO2-EOR機理與應用前景(三)
> CO2泡沫穩定性原理、影響因素|CO2-EOR機理與應用前景(二)
> CO2泡沫穩定性原理、影響因素|CO2-EOR機理與應用前景(一)
> 球擬假絲酵母菌合成槐糖脂類表面活性劑、降解含油廢水的表面張力(三)
> 球擬假絲酵母菌合成槐糖脂類表面活性劑、降解含油廢水的表面張力(二)
3種不同類型噴霧助劑對氟啶蟲胺腈藥液表面張力及在蘋果葉片潤濕持留性能測定(二)
來源:農藥學學報 瀏覽 397 次 發布時間:2025-08-22
1.2.3.2黏附功(adhesive Work)與黏附張力(adhesive tension)測定
根據潤濕方程,在藥液對靶標作物表面的潤濕過程中,用黏附功(Wa)表征藥液與作物表面的黏附程度,其值越大代表結合的越牢固,用黏附張力(A)表示液體取代固體表面氣體的能力,即固液界面的黏附能力,該值越大越有利于潤濕。分別利用液體的表面張力(γ)(mN/m)和接觸角(θ)計算Wa(mJ/m2)與A(mN/m),計算公式見(1)和(2)。
1.2.3.3最大持留量(maximum retention)測定
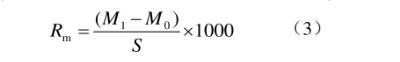
采用浸漬法并稍作改進。藥液配制方法同1.2.2節。采集蘋果成熟葉片,避開邊緣及褶皺處將葉片打成直徑為3.5 cm的圓形平整葉碟,計算葉碟面積(S)為9.62 cm2。浸漬前,用電子天平讀取葉碟初始質量(M0,g),用鑷子夾持葉碟完全浸入藥液3 s后取出,垂直懸置待不再有液滴滴下時讀取載液后質量(M1,g),根據公式(3)計算最大持留量(Rm)(mg/cm2),每處理重復10次,結果取平均值。
1.2.4室內毒力評價
采用浸葉法測定藥劑對蘋果黃蚜Aphis citricola的毒力。先用丙酮溶解98%氟啶蟲胺腈原藥并配制成一定質量濃度的母液,用蒸餾水將母液稀釋成5個質量濃度梯度(2、4、8、16和32 mg/L),得到不加助劑的系列濃度藥液。向配制好的系列濃度藥液中分別加入質量分數為0.3%的邁潤、0.3%的GY-T12和0.05%的NF-100,同時設清水加等量助劑作對照。將現采集的蘋果幼嫩葉片于藥液中浸泡5 s后取出陰干,葉背向上平鋪在有濕濾紙的培養皿中,用毛筆挑取個體大小一致的健康無翅成蚜于蘋果葉片上,并置于光照培養箱中進行飼養(溫度(25±1)℃;相對濕度(65±5)%;光周期L16:D8),24 h后檢查結果并計算校正死亡率。每處理重復4次,每重復不少于25頭,以成蚜不能自主爬行為死亡判斷標準,記錄總蟲數和死蟲數。
1.3數據處理
采用SPSS 22.0軟件,通過單因素方差分析進行顯著性檢驗,利用Duncan’s新復極差法進行多重比較。采用probit軟件計算藥劑毒力回歸方程、卡方、致死中濃度(LC50值)及95%置信限;根據相對毒力指數(T)(對照藥劑的LC50/混劑的LC50)評價助劑的增效作用,T<0.8時判斷為拮抗作用,0.8≤T<1.2時判斷為相加作用,T≥1.20時判斷為增效作用。
2結果與分析
2.1 3種助劑的CMC及該濃度下藥液表面張力的變化
當溶液中的表面活性物質的質量濃度達到其CMC時,液體具有良好的吸附和潤濕性,因此確定助劑的最低施用濃度以大于等于其CMC為依據。3種噴霧助劑的CMC測定結果見圖1。NF-100、GY-T12和邁潤3種噴霧助劑的CMC的對數值分別為2.40、3.43和3.46,得到其CMC分別為250、2708和2877 mg/L,其中糖基類表面活性劑NF-100具有更低的CMC,比另外兩種低一個數量級。根據助劑添加量應適當大于其CMC的原則,考慮量取方便,將NF-100的添加量確定為500 mg/L、折算為質量分數0.05%,將GY-T12和邁潤的添加量確定為3000 mg/L、折算為質量分數0.3%。在此添加量下,測定了3種噴霧助劑對氟啶蟲胺腈藥液表面張力的影響。結果(表1)表明,添加NF-100、GY-T12和邁潤3種助劑后,氟啶蟲胺腈藥液的表面張力顯著降低,由未添加助劑時的50.65 mN/m分別降低至34.03、35.64和27.64 mN/m,其中邁潤對藥液表面張力的降低效果最顯著,3種助劑之間均存在顯著差異(P<0.05)。
圖1 3種噴霧助劑的γ-lg(Conc.)曲線
表1達到CMC時3種噴霧助劑對藥液表面張力的影響
2.2噴霧助劑對藥液在蘋果葉片表面接觸角的影響
表2數據顯示,水滴在蘋果葉片近軸面和遠軸面上30 s時的穩定接觸角分別為85.01°和121.83°,由此判斷蘋果葉片的近軸面為親水表面,遠軸面為疏水表面。未添加助劑時,22%氟啶蟲胺腈SC液滴在近軸面0~30s的接觸角動態變化為92.87°~75.97°,在遠軸面0~30 s的接觸角始終大于120°,說明22%氟啶蟲胺腈SC藥液對蘋果葉片近軸面可部分潤濕,對遠軸面無法潤濕。添加3種助劑后,藥液液滴在近軸面及遠軸面的接觸角均顯著降低至90°以下(P<0.05),此時可以同時潤濕兩種表面;其中在親水性近軸面0 s和30 s的接觸角分別降低15.2°~30.8°和23.2°~41.3°,在疏水性遠軸面分別降低47.2°~65.7°和68.0°~93.5°,說明添加助劑顯著降低了藥液的接觸角,且在遠軸面接觸角的降低幅度更大。
表2氟啶蟲胺腈添加助劑在蘋果葉片表面接觸角、黏附功及黏附張力的變化
隨接觸時間延長,不同處理在兩種表面接觸角的改變不同。0 s時,與清水相同,各處理接觸角基本為近軸面小于遠軸面,只有邁潤在兩種表面幾乎無差異。30 s后,添加NF-100和邁潤處理的接觸角變為遠軸面小于近軸面,且差異達顯著水平,可能是這兩種助劑中的表面活性分子與蘋果葉片遠軸面的親和性更好、吸附效能更高,導致接觸角大幅度降低,從而顯著改善了對遠軸面的潤濕性??傮w來看,3種助劑中添加邁潤的接觸角最小、潤濕效果最好,NF-100作為糖基改性有機硅助劑潤濕效果相對較好,最后是礦物油助劑GY-T12,三者之間差異均達顯著水平(P<0.05)。對照不同藥液的表面張力,可以發現藥液表面張力越小,接觸角也越小。





